目 录
1 绪论 1
1.1 项目背景 1
1.2 项目研究目的和意义 1
1.3 国内外研究现状 2
1.3.1国内研究现状 2
1.3.2国外研究现状 2
1.4 论文工作内容以及结构安排 3
1.4.1论文工作内容 3
1.4.2论文结构安排 3
2 可行性分析及关键技术介绍 4
2.1 技术可行性 4
2.2 系统操作可行性 4
2.3 系统关键技术介绍 4
2.3.1java语言 4
2.3.2Eclipse IDE工具 5
2.3.3spring 5
2.3.4springMVC 5
2.3.5 mybatis 6
2.3.6 AJAX 6
3 系统需求分析 7
3.1 系统业务流程 7
3.2 系统功能性需求 8
3.3 系统用户权限 9
3.4 系统非功能需求 9
3.4.1系统数据安全 9
3.4.2系统运行状态 10
4 系统设计与实现 10
4.1 系统的设计目标与原则 10
4.2 系统功能设计 11
4.3 数据库设计 12
4.3.1数据库概念模型设计 12
4.3.2数据库逻辑模型设计 13
4.3.3数据库表设计 14
4.4 系统功能模块实现 15
4.4.1用户登录与注销 15
4.4.2用户注册模块 16
4.4.3视频上传 17
4.4.4个人信息模块 17
4.4.5视频管理中心模块 18
4.5.6在线视频播放模块 19
4.5.7管理员登录模块 20
4.5.8视频管理模块 22
4.5.9用户管理模块 24
4.5.10 权限管理模块 24
5 系统测试 25
5.1 用户登录模块测试 26
5.2 用户注册模块测试 26
5.3 视频上传模块测试 27
5.4 个人信息模块测试 28
5.5 视频管理模块测试 28
5.6 管理员登录模块测试 29
5.7 后台视频管理模块测试 30
5.8 后台用户管理模块测试 30
6 结束语 31
6.1 总结 31
6.2 未来工作展望 31
谢 辞 32
参考文献 33
附 录 34
1关键代码 34
1.1框架的配置文件 34
1.2 关键类 37
3 系统需求分析
3.1 系统业务流程

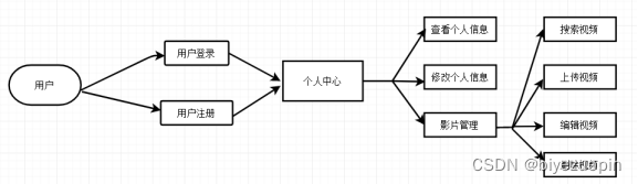
图3-1 用户业务流程图
前台系统的使用对象主要是用户,用户在前台系统中的主要业务是进行用户登录、注册、退出等基本操作;用户的个人中心主要包含三个业务流程:查看个人信息、修改个人信息、对个人上传的视频进行管理;在影片管理业务流程里,分为四个子流程:搜索视频、上传个人新视频、对已经上传好的视频进行编辑修改、删除个人视频。

图3-2 管理员业务流程图
系统的管理员分为三种角色:视频管理员、用户管理员、权限管理员。每个角色都设置了特定的权限,分别对网站进行整体管理。
视频管理员:负责对网站的视频进行管理,包括视频上传,首页轮播视频管理,电影、电视剧、动漫、综艺等类别的视频进行编辑、删除等操作。
用户管理员:查看网站的用户列表,对用户上传的视频进行审批、删除等管理。
权限管理员:对后台系统的账户进行管理,增加新账户、对各个账户进行权限管理。
3.2 系统功能性需求
在线视频网站的目的是实现满足在线视频播放、视频上传和下载等影视剧迷们对影视剧的日常需求的功能。为了达到这个目的,于是对系统提出了以下的系统功能:
(1)能够在线播放视频,实现用户无论登录与否都能在线播放视频,同时实现播放列表功能。
(2)能够让用户实现对个人信息的查看和修改,便于管理个人账户。
(3)能够满足用户上传自己的视频,同时对已经上传的视频进行编辑、搜索、删除、播放等操作。
(4)能够实现管理员对首页轮播视频进行编辑、删除、添加等管理,同时也要对首页的电视剧和电影按播放量进行热门排行榜。
(5)能够实现管理员对电影、电视剧、动漫、综艺等视频进行增删改查等管理。
(6)能够实现管理员对用户的视频进行审批、删除等管理。
(7)能够实现对管理员的权限进行修改、增加账户等管理。
3.3 系统用户权限
在线视频网站需要视频管理员登录后对网站的视频进行增删改查等操作,是实现了网站在线视频播放功能的前提。视频管理员首先将视频设置为首页轮播视频、将电影、电视剧、动漫、综艺等视频上传后形成网站视频。用户才对这些视频进行搜索、播放等功能。用户登录后修改自己的个人信息、对个人视频进行上传、编辑、删除等管理。
系统用户主要有一下几种:
(1)权限管理员:对后台管理系统的账户进行新增账户、删除账户、对原有账户进行授权管理。
(2)视频管理员:对网站的视频进行首页轮播视频的增加、修改、删除,对电视剧、电影、动漫、综艺等视频进行查询、删除、新增等管理。
(3)用户管理员:对网站的用户列表进行查询、对用户上传的视频进行审批管理。
(4)用户:用户可以进行登录注册,对个人信息进行查询、修改,上传视频,对已经上传的视频进行修改、删除,对网站的视频和自己的视频进行在线播放、下载等操作。
3.4 系统非功能需求
3.4.1系统数据安全
系统用户在进行数据相关的增加、删除、修改等操作时,系统必须确保数据的安全可靠,因此系统必须具备以下功能:
(1)操作前进行确认征求:用户对信息的修改、删除等敏感操作时,提交之前必须再次向用户发出确认,防止误操作导致数据的损失。
(2)数据准确性校验:用户在填写信息时,对数据格式、类型等进行明确的提示,同时对输入不正确的数据进行提示,避免了不准确的数据被保存到数据库。
(3)数据的冗余与唯一性:用户进行注册时,使用ajax进行异步刷新,防止用户输入的用户名与原有的用户名重复,导致数据冗余、混乱。为了确保数据的唯一性,对主键等具有唯一标识符的字段使用uuid自动生成,以达到保证数据的唯一性。
3.4.2系统运行状态
为了确保网站能够可靠的服务于人们观看视频等需求。必须做到系统能够承受长期的运行、高效稳定的完成系统的功能需求,网站系统必须满足以下的要求:
(1)系统结构设计合理。
网站系统使用了java作为开发语言,满足了无操作系统的限制要求,实现了跨系统的功能。使用性能稳定、高效的SSM作为后台的整体框架,实现了各个模块和各个层次之间的解耦,互不依赖,满足了后期进行系统更新需求。使得网站系统具备了高可维护性、可拓展性。
(2)具备高度的维护性、开放性。
由于在线视频网站是个不断更新的系统,因此本系统提供了对外开发的接口,以便日后进行系统的完善和更新。
(3)系统安全性高。
系统是供广大用户使用,因此系统安全性必须做到高度安全。对于用户的信息,例如用户的密码等私密信息,在数据库设计时使用了MD5加密算法进行加密,以达到了保证用户信息的安全。本文转载自http://www.biyezuopin.vip/onews.asp?id=12476对于网站后台系统管理上,采用权限管理。实现了不同角色具有不同的操作权限,对不同的业务进行权限限制访问。
4 系统设计与实现
系统的设计与实现,就是将用户的需求转化成编程的思维方式。为了符号开发规范,需给各个功能模块进行详细的设计,同时对各个模块进行相应的数据库设计。各个模块之间的联系做到关联而不依赖。
<%@ page language="java" contentType="text/html; charset=UTF-8"
pageEncoding="UTF-8"%>
<%@taglib prefix="c" uri="http://java.sun.com/jsp/jstl/core"%>
<%@taglib prefix="f" uri="http://java.sun.com/jsp/jstl/fmt"%>
<!DOCTYPE html PUBLIC "-//W3C//DTD HTML 4.01 Transitional//EN" "http://www.w3.org/TR/html4/loose.dtd">
<c:set var="cxtPath" value="${pageContext.request.contextPath}"></c:set>
<c:set var="url" value="pictureUrl?url=E:/myvod/img/admin/"></c:set>
<html>
<head>
<title>在线视频</title>
<meta name="viewport" content="width=device-width, initial-scale=1">
<meta http-equiv="Content-Type" content="text/html; charset=utf-8" />
<meta name="keywords" content="在线视频网站" />
<link href="css/indexMovie.css" rel='stylesheet' type='text/css' />
<link href="css/bootstrap.css" rel='stylesheet' type='text/css' />
<link href="css/style.css" rel="stylesheet" type="text/css" media="all" />
<!-- start plugins -->
<script type="text/javascript" src="js/jquery-1.11.1.min.js"></script>
<script src="js/responsiveslides.min.js"></script>
<link rel="stylesheet" href="css/baidulogin.css" />
<script src="${cxtPath}/js/user.js"></script>
<script>
$(function() {
$("#slider").responsiveSlides({
auto : true,
nav : true,
speed : 500,
namespace : "callbacks",
pager : true,
});
});
</script>
</head>
<body>
<script type="text/javascript" src="js/baidulogin.js"></script>
<div class="container">
<div class="container_wrap">
<!--顶部-->
<div class="header_top">
<div class="col-sm-3 logo" style="margin-top: -2%">
<img src="${cxtPath}/images/logo.png" alt="logo" title="sheep影音"/>
</div>
<div class="col-sm-5 nav" style="margin-top: -0.5%">
<ul>
<li><span class="simptip-position-bottom simptip-movable"
data-tooltip="电影"><a href="${cxtPath}/getMovieByCategory?category=1">
</a></span></li>
<li><span class="simptip-position-bottom simptip-movable"
data-tooltip="电视剧"><a
href="${cxtPath}/getMovieByCategory?category=2"> </a> </span></li>
<li><span class="simptip-position-bottom simptip-movable"
data-tooltip="动漫"><a href="${cxtPath}/getMovieByCategory?category=3">
</a></span></li>
<li><span class="simptip-position-bottom simptip-movable"
data-tooltip="综艺"><a
href="${cxtPath}/getMovieByCategory?category=4"> </a></span></li>
</ul>
</div>
<div class="col-sm-4 header_right">
<ul class="header_right_box">
<li><c:if test="${user!=null}">
<p>
<a href="${cxtPath}/jsp/user/personalCenter.jsp"> <img
src="${cxtPath}/${user.userPriceUrl}" alt="头像" title="个人中心"
style="border-radius: 50%;" width=32px height=32px /> <font
color="#31B0D5" size="4" title="个人中心">${user.userName}</font></a>
| <a href="${cxtPath}/userLogout">
<font color="#31B0D5" size="4" title="退出登录">退出</font>
</a>
</p>
</c:if> <c:if test="${user==null}">
<p>
<div class="link">
<a href="javascript:showDialog();"> <font color="#31B0D5"
size="4" title="登录">登录</font>
</a>| | <a href="register.jsp"> <font
color="#31B0D5" size="4" title="注册">注册</font>
</a>
</div>
</p>
</c:if></li>
</ul>
</div>
<div class="clearfix"></div>
</div>
<!--弹出-->
<div class="ui-mask" id="mask" onselectstart="return false"></div>
<div class="ui-dialog" id="dialogMove" onselectstart='return false;'>
<div class="ui-dialog-title" id="dialogDrag"
onselectstart="return false;">
登录通行证 <a class="ui-dialog-closebutton"
href="javascript:hideDialog();"></a>
</div>
<div class="ui-dialog-content">
<form action="${cxtPath}/userLogin" method="post" id="loginForm"
onsubmit="return check(this)">
<div class="ui-dialog-l40">
<input class="ui-dialog-input ui-dialog-input-username"
id="userName" type="input" placeholder="用户名" value=""
name="userName" />
</div>
<div style="height: 25px;">
<font color="red" id="username_span"></font>
</div>
<div class="ui-dialog-l40">
<input class="ui-dialog-input ui-dialog-input-password"
id="userPassword" type="password" placeholder="密码" value=""
name="userPassword" />
</div>
<div style="height: 25px;">
<font color="red" id="userPassword_span"></font>
</div>
<div class="ui-dialog-l41">
<input type="test" placeholder="验证码" value="" name="vcode"
id="codeid" /> <img id="code" src="${cxtPath}/vcode"
onclick="checkcode()" height="40px">
</div>
<div style="height: 25px;">
<font color="red" id="vodespan"></font>
</div>
<div>
<input type="submit" value="登录" class="ui-dialog-submit" />
</div>
<div class="ui-dialog-l40" style="float: left;">
<a href="#">忘记密码</a>
</div>
<div class="ui-dialog-l40" style="float: right;">
<a href="register.jsp">立即注册</a>
</div>
</form>
</div>
</div>
<!--弹出 end-->
<!--轮播-->
<div class="slider">
<div class="callbacks_container">
<ul class="rslides" id="slider">
<c:forEach var="slider" items="${sliders}">
<li><img
style="position: relative; width: 1194px; height: 497px"
src="${cxtPath}/${url}${slider.id}${slider.sliderImage}"
class="img-responsive" alt="${slider.movieName}" /> <label
style="position: relative;"> <font color="#FFFFF"
size="4">上映时间:</font> <span class="m_1"> <f:formatDate
value="${slider.showTime}" pattern="yyyy-MM-dd" />
</span> <font color="#FFFFF" size="4">评分:</font> <span
class="m_1">${slider.grade}</span> <font
color="#FFFFF" size="4">下载次数:</font> <span class="m_1">${slider.downloads}</span>
<font color="#FFFFF" size="4">播放次数:</font> <span
class="m_1">${slider.plays}</span>
</label>
<div class="button">
<a href="${cxtPath}/player?movie=${slider.id}${slider.mvType}"
class="hvr-shutter-out-horizontal" title="点击播放" >现在就去看</a>
</div></li>
</c:forEach>
</ul>
</div>
</div>
<div class="content">
<div class="box_1">
<h1 class="m_2">
<font color="#FFFFFF" size="7">热门视频</font>
</h1>
<!--搜索栏-->
<div class="search" style="text-align-last: center;">
<form action="${cxtPath}/searchIndexMovie" method="post">
<input type="text" value="万部影片任你挑" onFocus="this.value='';"
onBlur="if (this.value == '') {this.value ='';}" name="movieName"> <input
type="submit" value="" title="点击搜索">
</form>
</div>
<div class="clearfix"></div>
</div>
<div class="box_2">
<!--高分电影-->
<div class="col-md-5 grid_3">
<br />
<h3>
<font color="#DFF0D8">高分电影</font>
</h3>
<form>
<div class="row_1">
<div class="col-md-6 grid_4">
<c:forEach var="movie" items="${movies}" begin="0" end="2">
<br>
<div class="grid_2">
<a href="${cxtPath}/player?movie=${movie.id}${movie.mvType}">
<img src="${cxtPath}/${url}${movie.id}${movie.imgType}"
class="img-responsive" alt="${movie.movieName}"
style="width: 200px; height: 183px" title="点击播放" />
</a>
</div>
<div class="caption1">
<p class="m_3">
<a
href="${cxtPath}/player?movie=${movie.id}${movie.mvType}">${movie.movieName}</a>
</p>
<p class="m_4">${movie.message}</p>
</div>
<br>
</c:forEach>
</div>
<div class="col-md-6 grid_4">
<c:forEach var="movie" items="${movies}" begin="3" end="5">
<br>
<div class="grid_2">
<a href="${cxtPath}/player?movie=${movie.id}${movie.mvType}">
<img src="${cxtPath}/${url}${movie.id}${movie.imgType}"
class="img-responsive" alt="${movie.movieName}"
style="width: 200px; height: 183px" title="点击播放" />
</a>
</div>
<div class="caption1">
<p class="m_3">
<a
href="${cxtPath}/player?movie=${movie.id}${movie.mvType}">${movie.movieName}</a>
</p>
<p class="m_4">${movie.message}</p>
</div>
<br>
</c:forEach>
</div>
<div class="clearfix"></div>
<br>
<h4 align="right" style="margin-right: 50px;">
<a href="${cxtPath}/getMovieByCategory?category=1">更多</a>
</h4>
</div>
</form>
</div>
<!--热播电视剧-->
<div class="col-md-5 content_right grid_3">
<br />
<h3 style="margin-left: 18px;">
<font color="#DFF0D8">热播电视剧</font>
</h3>
<div class="row_3">
<div class="col-md-6 grid_4">
<c:forEach var="tvplay" items="${tvplays}" begin="0" end="2">
<br>
<div class="grid_2">
<a
href="${cxtPath}/player?movie=${tvplay.id}${tvplay.mvType}">
<img src="${cxtPath}/${url}${tvplay.id}${tvplay.imgType}"
class="img-responsive" alt="${tvplay.movieName}"
style="width: 200px; height: 183px" title="点击播放" />
</a>
</div>
<div class="caption1">
<p class="m_3">
<a
href="${cxtPath}/player?movie=${tvplay.id}${tvplay.mvType}">${tvplay.movieName}</a>
</p>
<p class="m_4">${tvplay.message}</p>
</div>
<br>
</c:forEach>
</div>
<div class="col-md-6 grid_4">
<c:forEach var="tvplay" items="${tvplays}" begin="3" end="5">
<br>
<div class="grid_2">
<a
href="${cxtPath}/player?movie=${tvplay.id}${tvplay.mvType}">
<img src="${cxtPath}/${url}${tvplay.id}${tvplay.imgType}"
class="img-responsive" alt="${tvplay.movieName}"
style="width: 200px; height: 183px" title="点击播放" />
</a>
</div>
<div class="caption1">
<p class="m_3">
<a
href="${cxtPath}/player?movie=${tvplay.id}${tvplay.mvType}">${tvplay.movieName}</a>
</p>
<p class="m_4">${tvplay.message}</p>
</div>
<br>
</c:forEach>
</div>
<div class="clearfix"></div>
<br>
<h4 align="right" style="margin-right: 50px;">
<a href="${cxtPath}/getMovieByCategory?category=2">更多</a>
</h4>
</div>
</div>
</div>
<!--排行榜-->
<div class="col-md-2 grid_6">
<br />
<h3>
<font color="#DFF0D8">播放榜</font>
</h3>
<c:forEach var="ranking" items="${rankings}" begin="0" end="3">
<div class="grid_2">
<a href="${cxtPath}/player?movie=${ranking.id}${ranking.mvType}">
<img src="${cxtPath}/${url}${ranking.id}${ranking.imgType}"
class="img-responsive" alt="${ranking.movieName}"
style="width: 160px; height: 143px" title="点击播放" />
</a>
</div>
<div class="caption1">
<p class="m_41">${ranking.message}</p>
<p class="m_31">
<a href="${cxtPath}/player?movie=${ranking.id}${ranking.mvType}">${ranking.movieName}</a>
</p>
</div>
<br><br>
</c:forEach>
<h4 align="right" style="margin-right: 10px;">
<a href="#">更多</a>
</h4>
</div>
</div>
</div>
</div>
<div class="container">
<footer id="footer">
<div id="footer-3d">
<div class="gp-container">
<span class="first-widget-bend"></span>
</div>
</div>
<div id="footer-widgets" class="gp-footer-larger-first-col">
<div class="gp-container">
<div class="footer-widget footer-1">
<div class="wpb_wrapper">
<img src="images/f_logo.png" alt="" />
</div>
<br>
<p>好看的国产-最新国产-经典国产-国产电影在线网站</p>
<p class="text">好看的国产-最新国产-经典国产-国产电影在线网站</p>
</div>
<div class="footer_box">
<div class="col_1_of_3 span_1_of_3">
<h3>友情链接</h3>
<ul class="first">
<li><a href="http://www.iqiyi.com" target="_blank">爱奇艺</a></li>
<li><a href="https://v.qq.com/index.html" target="_blank">腾讯视频</a>
</li>
<li><a href="https://www.baidu.com/" target="_blank">百度</a>
</li>
</ul>
</div>
<div class="col_1_of_3 span_1_of_3">
<h3>新闻动态</h3>
<ul class="first">
<li><a href="#">抢先发布</a></li>
<li><a href="#">top sellers</a></li>
<li><a href="#">Specials</a></li>
</ul>
</div>
<div class="col_1_of_3 span_1_of_3">
<h3>联系我们</h3>
<ul class="first">
<li><a href="protocol.html" title="用户协议">关于我们</a></li>
<li><a href="#">联系方式</a></li>
<li><a href="${cxtPath}/checkAdmin" title="管理员登录">后台管理</a></li>
</ul>
</div>
<div class="clearfix"></div>
</div>
<!--版权声明-->
<div class="copy" align="center">
<p>Copyright © 2015-2020.sheep.</p>
</div>
<div class="clearfix"></div>
</div>
</div>
</footer>
</div>
</body>
</html>

























我有一个模型:classItem项目有一个属性“商店”基于存储的值,我希望Item对象对特定方法具有不同的行为。Rails中是否有针对此的通用设计模式?如果方法中没有大的if-else语句,这是如何干净利落地完成的? 最佳答案 通常通过Single-TableInheritance. 关于ruby-on-rails-Rails-子类化模型的设计模式是什么?,我们在StackOverflow上找到一个类似的问题: https://stackoverflow.co
我将应用程序升级到Rails4,一切正常。我可以登录并转到我的编辑页面。也更新了观点。使用标准View时,用户会更新。但是当我添加例如字段:name时,它不会在表单中更新。使用devise3.1.1和gem'protected_attributes'我需要在设备或数据库上运行某种更新命令吗?我也搜索过这个地方,找到了许多不同的解决方案,但没有一个会更新我的用户字段。我没有添加任何自定义字段。 最佳答案 如果您想允许额外的参数,您可以在ApplicationController中使用beforefilter,因为Rails4将参数
我有一个用户工厂。我希望默认情况下确认用户。但是鉴于unconfirmed特征,我不希望它们被确认。虽然我有一个基于实现细节而不是抽象的工作实现,但我想知道如何正确地做到这一点。factory:userdoafter(:create)do|user,evaluator|#unwantedimplementationdetailshereunlessFactoryGirl.factories[:user].defined_traits.map(&:name).include?(:unconfirmed)user.confirm!endendtrait:unconfirmeddoenden
在Ruby中可以使用哪些替代方法来ping一个ip地址?标准库“ping”库的功能似乎非常有限。我对在这里滚动我自己的代码不感兴趣。有没有好的gem?我应该接受它并忍受它吗?(我在Linux上使用Ruby1.8.6编写代码) 最佳答案 net-ping值得一看。它允许TCPping(如标准rubyping),但也允许UDP、HTTP和ICMPping。ICMPping需要root权限,但其他则不需要。 关于ruby-Pingruby网站?,我们在StackOverflow上找到一个类
导读:随着叮咚买菜业务的发展,不同的业务场景对数据分析提出了不同的需求,他们希望引入一款实时OLAP数据库,构建一个灵活的多维实时查询和分析的平台,统一数据的接入和查询方案,解决各业务线对数据高效实时查询和精细化运营的需求。经过调研选型,最终引入ApacheDoris作为最终的OLAP分析引擎,Doris作为核心的OLAP引擎支持复杂地分析操作、提供多维的数据视图,在叮咚买菜数十个业务场景中广泛应用。作者|叮咚买菜资深数据工程师韩青叮咚买菜创立于2017年5月,是一家专注美好食物的创业公司。叮咚买菜专注吃的事业,为满足更多人“想吃什么”而努力,通过美好食材的供应、美好滋味的开发以及美食品牌的孵
华为OD机试题本篇题目:明明的随机数题目输入描述输出描述:示例1输入输出说明代码编写思路最近更新的博客华为od2023|什么是华为od,od薪资待遇,od机试题清单华为OD机试真题大全,用Python解华为机试题|机试宝典【华为OD机试】全流程解析+经验分享,题型分享,防作弊指南华为o
C#实现简易绘图工具一.引言实验目的:通过制作窗体应用程序(C#画图软件),熟悉基本的窗体设计过程以及控件设计,事件处理等,熟悉使用C#的winform窗体进行绘图的基本步骤,对于面向对象编程有更加深刻的体会.Tutorial任务设计一个具有基本功能的画图软件**·包括简单的新建文件,保存,重新绘图等功能**·实现一些基本图形的绘制,包括铅笔和基本形状等,学习橡皮工具的创建**·设计一个合理舒适的UI界面**注明:你可能需要先了解一些关于winform窗体应用程序绘图的基本知识,以及关于GDI+类和结构的知识二.实验环境Windows系统下的visualstudio2017C#窗体应用程序三.
目录前言滤波电路科普主要分类实际情况单位的概念常用评价参数函数型滤波器简单分析滤波电路构成低通滤波器RC低通滤波器RL低通滤波器高通滤波器RC高通滤波器RL高通滤波器部分摘自《LC滤波器设计与制作》,侵权删。前言最近需要学习放大电路和滤波电路,但是由于只在之前做音乐频谱分析仪的时候简单了解过一点点运放,所以也是相当从零开始学习了。滤波电路科普主要分类滤波器:主要是从不同频率的成分中提取出特定频率的信号。有源滤波器:由RC元件与运算放大器组成的滤波器。可滤除某一次或多次谐波,最普通易于采用的无源滤波器结构是将电感与电容串联,可对主要次谐波(3、5、7)构成低阻抗旁路。无源滤波器:无源滤波器,又称
MIMO技术的优缺点优点通过下面三个增益来总体概括:阵列增益。阵列增益是指由于接收机通过对接收信号的相干合并而活得的平均SNR的提高。在发射机不知道信道信息的情况下,MIMO系统可以获得的阵列增益与接收天线数成正比复用增益。在采用空间复用方案的MIMO系统中,可以获得复用增益,即信道容量成倍增加。信道容量的增加与min(Nt,Nr)成正比分集增益。在采用空间分集方案的MIMO系统中,可以获得分集增益,即可靠性性能的改善。分集增益用独立衰落支路数来描述,即分集指数。在使用了空时编码的MIMO系统中,由于接收天线或发射天线之间的间距较远,可认为它们各自的大尺度衰落是相互独立的,因此分布式MIMO
项目介绍随着我国经济迅速发展,人们对手机的需求越来越大,各种手机软件也都在被广泛应用,但是对于手机进行数据信息管理,对于手机的各种软件也是备受用户的喜爱小学生兴趣延时班预约小程序的设计与开发被用户普遍使用,为方便用户能够可以随时进行小学生兴趣延时班预约小程序的设计与开发的数据信息管理,特开发了小程序的设计与开发的管理系统。小学生兴趣延时班预约小程序的设计与开发的开发利用现有的成熟技术参考,以源代码为模板,分析功能调整与小学生兴趣延时班预约小程序的设计与开发的实际需求相结合,讨论了小学生兴趣延时班预约小程序的设计与开发的使用。开发环境开发说明:前端使用微信微信小程序开发工具:后端使用ssm:VU