目前持续更新的专栏:
大家好,我是左手の明天!
今天和大家分享数学建模重要模型——马尔可夫链模型。在对数学建模之马尔可夫链模型进行介绍时,首先需要明确两个问题:
马氏链模型用来干什么
马尔可夫预测法是应用概率论中马尔可夫链(Markov chain)的理论和方法来研究分析时间序列的变化规律,并由此预测其未来变化趋势的一种预测技术。
马氏链模型什么时候用
应用马尔可夫链的计算方法进行马尔可夫分析, 主要目的是根据某些变量现在的情况及其变动趋向,来预测它在未来某特定区间可能产生的变动,作为提供某种决策的依据。
目录

要描述某种特定时期的随机现象如某种药品在未来某时期的销售情况,比如说第n季度是畅销还是滞销,用一个随机变量Xn便可以了,但要描述未来所有时期的情况,则需要一系列的随机变量X1,X2,…,Xn,….称{ Xt,t∈T ,T是参数集}为随机过程,{ Xt }的取值集合称为状态空间。若随机过程{ Xn }的参数为非负整数, Xn 为离散随机变量,且{ Xn }具有无后效性(或称马尔可夫性),则称这一随机过程为马尔可夫链(简称马氏链)。所谓无后效性,直观地说,就是如果把{ Xn }的参数n看作时间的话,那么它在将来取什么值只与它现在的取值有关,而与过去取什么值无关。
对具有N个状态的马氏链,描述它的概率性质,最重要的是它在n时刻处于状态i下一时刻转移到状态j的一步转移概率:

若假定上式与n无关,即

则可记为(此时,称过程是平稳的),并记

称为转移概率矩阵。
转移概率矩阵具有下述性质:




由于第二天天气情况不受今天之前天气情况的影响,即状态0和状态1是相互独立且仅有的状态,所以两个状态的概率和为1。因此,该随机过程具有马尔可夫属性,该过程称为马尔可夫链。

因此,转移矩阵为:

如果我们考虑状态多次转移的情况,则有过程在n时刻处于状态i,n+k时刻转移到状态j的k步转移概率:

同样由平稳性,上式概率与n无关,可写成。记

称为k步转移概率矩阵.其中具有性质:

一般地有,若P为一步转移矩阵,则k步转移矩阵

2步转移矩阵:

说明: 该2步矩阵说明,如果今天是晴天(0),那么后两天仍为晴天(0)的概率为0.76,为雨天(1)概率是0.24;类似地,如果今天是雨天(1),那么后两天为晴天(0)的概率是0.72,为雨天(1)的概率为0.28。
同样,3天、4天或5天后的气象状态转移概率可通过计算3步、4步和5步转移矩阵得到:




在马尔可夫预测方法中,系统状态的转移概率的估算非常重要.估算的方法通常有两种:一是主观概率法,它是根据人们长期积累的经验以及对预测事件的了解,对事件发生的可能性大小的一种主观估计,这种方法一般是在缺乏历史统计资料或资料不全的情况下使用.二是统计估算法,现通过实例进行介绍。
表1 某抗病毒药24个季度的销售情况
| 季度 | 销售状态 | 季度 | 销售状态 | 季度 | 销售状态 | 季度 | 销售状态 |
| 1 | 1 (畅销) | 7 | 1(畅销) | 13 | 1(畅销) | 19 | 2(滞销) |
| 2 | 1(畅销) | 8 | 1(畅销) | 14 | 1(畅销) | 20 | 1(畅销) |
| 3 | 2(滞销) | 9 | 1(畅销) | 15 | 2(滞销) | 21 | 2(滞销) |
| 4 | 1(畅销) | 10 | 2(滞销) | 16 | 2(滞销) | 22 | 1(畅销) |
| 5 | 2(滞销) | 11 | 1(畅销) | 17 | 1(畅销) | 23 | 1(畅销) |
| 6 | 2(滞销) | 12 | 2(滞销) | 18 | 1(畅销) | 24 | 1(畅销) |
分析表中的数据,其中有15个季度畅销,9个季度滞销,连续出现畅销和由畅销转入滞销以及由滞销转入畅销的次数均为7,连续滞销的次数为2.由此,可得到下面的市场状态转移情况表(表2).
表2 市场状态转移情况表
|
|
| 下季度药品所处的市场状态 | ||
| 1(畅销) | 2(滞销) | |||
| 本季度药品所 | 1(畅销) | 7 | 7 | |
| 处的市场状态 | 2(滞销) | 7 | 2 | |
现计算转移概率.以频率代替概率,可得连续畅销的概率:

分母中的数为15减1是因为第24季度是畅销,无后续记录,需减1.
同样得由畅销转入滞销的概率:

滞销转入畅销的概率:

连续滞销的概率:

综上,得销售状态转移概率矩阵为:

从上面的计算过程知,所求转移概率矩阵P的元素其实可以直接通过表2中的数字计算而得到,即将表中数分别除以该数所在行的数字和便可:

由此,推广到一般情况,我们得到估计转移概率的方法:假定系统有m种状态S1,S2,…,Sm,根据系统的状态转移的历史记录,得到表3的统计表格,以
表示系统从状态i转移到状态j的转移概率估计值,则由表3的数据计算估计值的公式如下:
表3 系统状态转移情况表
|
|
| 系统下步所处状态 | |||
|
|
| … |
| ||
| 系 统 | | | | … | |
| 本 步 | | | | … | |
| 所 处 |
| …
|
| …
|
|
| 状 态 | | | | … | |

format rat
clc
a=[ 1 1 2 1 2 2 1 1 1 2 1 2,1 1 2 2 1 1 2 1 2 1 1 1];
for i=1:2
for j=1:2
f(i,j)=length(findstr([i j],a));
end
end
f
ni=(sum(f'))'
for i=1:2
p(i,:)=f(i,:)/ni(i);
end
p






在马氏链模型中,随着时间的推移,系统的状态可能发生转移,这种转移常常会引起某种经济指标的变化.如抗病毒药的销售状态有畅销和滞销两种,在时间变化过程中,有时呈连续畅销或连续滞销,有时由畅销转为滞销或由滞销转为畅销,每次转移不是盈利就是亏本.假定连续畅销时盈r11元,连续滞销时亏本r22元,由畅销转为滞销盈利r12元,由滞销转为畅销盈利r21元,这种随着系统的状态转移,赋予一定利润的马氏链,称为有利润的马氏链.对于一般的具有转移矩阵

的马氏链,当系统由i转移到j时,赋予利润rij(i,j=1,2,…,N),则称

为系统的利润矩阵,rij >0称为盈利,rij <0称为亏本,rij = 0称为不亏不盈.
随着时间的变化,系统的状态不断地转移,从而可得到一系列利润,由于状态的转移是随机的,因而一系列的利润是随机变量,其概率关系由马氏链的转移概率决定.例如从抗病毒药的销售状态的转移矩阵,得到一步利润随机变量
的概率分布分别为:

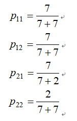
其中 p11+ p12 = 1 ,p21+ p22 = 1.
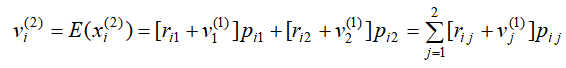
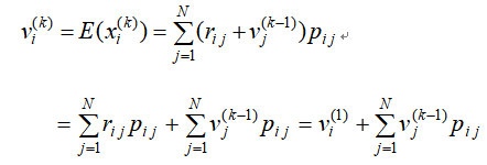
如果药品处于畅销阶段,即销售状态为i =1,我们想知道,经过n个季度以后,期望获得的利润是多少?为此,引入一些计算公式.
首先,定义
为抗病毒药现在处于i(i=1,2),经过k步转移之后的总期望利润,则
一步转移的期望利润为:

二步转移的期望利润为:

其中随机变量
(称为二步利润随机变量)的分布为:

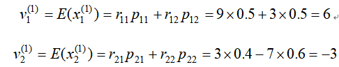
例如,若

则抗病毒药销售的一步利润随机变量:

抗病毒药畅销和滞销时的一步转移的期望利润分别为:

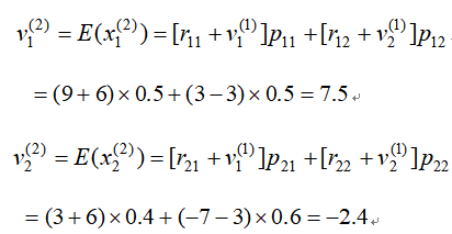
二步利润随机变量为:

抗病毒药畅销和滞销时的二步转移的期望利润分别为:

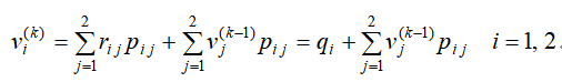
一般地定义k步转移利润随机变量
的分布为:

则系统处于状态i经过k步转移后所得的期望利润
的递推计算式为:

当k=1时,规定边界条件
.
称一步转移的期望利润为即时的期望利润,并记

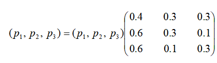
在购买该药的总共1000家对象(购买力相当的医院、药店等)中,买A、B、C三药厂的各有400家、300家、300家,预测A、B、C三个厂家生产的某种抗病毒药在未来的市场占有情况。顾客订货情况如下表5:
表5 顾客订货情况表
| 下季度订货情况 | 合计 | |||||
| 来 自 |
| A | B | C |
| |
| A | 160 | 120 | 120 | 400 | ||
| B | 180 | 90 | 30 | 300 | ||
| C | 180 | 30 | 90 | 300 | ||
| 合计 |
| 520 | 240 | 240 | 1000 | |
目前的市场占有情况为:在购买该药的总共1000家对象(购买力相当的医院、药店等)中,买A、B、C三药厂的各有400家、300家、300家,那么A、B、C三药厂目前的市场占有份额分别为:40%、30%、30%.称(0.4,0.3,0.3)为目前市场的占有分布或称初始分布.
此外,我们需要查清使用对象的流动情况。流动情况的调查可通过发放信息调查表来了解顾客以往的资料或将来的购买意向,也可从下一时期的订货单得出。由题已知顾客订货情况如下表5
假定在未来的时期内,顾客相同间隔时间的流动情况不因时期的不同而发生变化,以1、2、3分别表示顾客买A、B、C三厂家的药这三个状态,以季度为模型的步长(即转移一步所需的时间),那么根据表5,我们可以得模型的转移概率矩阵:

矩阵中的第一行(0.4,0.3,0.3)表示目前是A厂的顾客下季度有40%仍买A厂的药,转为买B厂和C厂的各有30%.同样,第二行、第三行分别表示目前是B厂和C厂的顾客下季度的流向.
由P我们可以计算任意的k步转移矩阵,如三步转移矩阵:

从这个矩阵的各行可知三个季度以后各厂家顾客的流动情况.如从第二行(0.504,0.252,0.244)知,B厂的顾客三个季度后有50.4%转向买A厂的药,25.2%仍买B厂的,24.4%转向买C厂的药.
设
表示预测对象k季度以后的市场占有率,初始分布则为
,市场占有率的预测模型为

已知
,由此,我们可预测任意时期A、B、C三厂家的市场占有率.例如,三个季度以后的预测值为:

大致上,A 厂占有一半的市场,B厂、C厂各占四分之一.
可推广到N个状态的情形:

如果我们按公式继续逐步求A、B、C三家的市场占有率,会发现,当k大到一定的程度,S (k) 将不会有多少改变,即有稳定的市场占有率,设其稳定值为
,满足
事实上,如果市场的顾客流动趋向长期稳定下去,则经过一段时期以后的市场占有率将会出现稳定的平衡状态,即顾客的流动,不会影响市场的占有率,而且这种占有率与初始分布无关.如何求出这种稳定的市场占有率呢?
以A、B、C三家的情况为例,当市场出现平衡状态时,从公式(7)可得方程S = S P,即

由此得

经整理,并加上条件
,得
0.4 0.3 0.3,0.6 0.3 0.1,0.6 0.1 0.3
上方程组是三个变量四个方程的方程组,在前三个方程中只有二个是独立的,任意删去一个,从剩下的三个方程中,可求出唯一解:

这就是A、B、C三家的最终市场占有率.
一般N个状态的稳定市场占有率(稳态概率)
可通过解方程组

求得,而公式的前N个方程中只有N-1个是独立的,可任意删去一个。
format rat
p=[0.4 0.3 0.3,0.6 0.3 0.1,0.6 0.1 0.3];
a=[p'-eye(3);ones(1,3)];
b=[zeros(3,1);1];
p_limit=a\b
企业追逐市场占有率的真正目的是使利润增加,因此,竞争各方无论是为了夺回市场份额,还是为了保住或者提高市场份额,在制订对策时都必须对期望利润进行预测.
预测主要分两步进行:
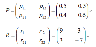
例如,通过市场调查,我们得到如下的销路转移表(表6)和利润变化表(表7).由此,我们来建立数学模型.
表6 销路转移表
|
|
| 畅销 | 滞销 |
| 1 | 2 | ||
| 1 | 畅销 | 0.5 | 0.5 |
| 2 | 滞销 | 0.4 | 0.6 |
销路转移表说明连续畅销的可能性为50%,由畅销转入滞销的可能性也是50%,由滞销到畅销为40%,连续滞销的可能性为60%.利润表说明的是连续畅销获利900万元,由畅销到滞销或由滞销到畅销均获利300万元,连续滞销则亏损700万元.从而得到销售状态的转移矩阵P和利润矩阵R分别为:
表7 利润变化表(单位:百万元)
|
|
| 畅销 | 滞销 |
| 1 | 2 | ||
| 1 | 畅销 | 9 | 3 |
| 2 | 滞销 | 3 | -7 |

P和R便构成一个有利润的马氏链.由前面所述的基本原理及公式(6)得下面的预测公式:
即时期利润:

k步以后的期望利润:

将调查数据代入上公式则可预测各时期的期望利润值.如:

由此可知,当本季度处于畅销时,在下一季度可以期望获得利润600万元;当本季度处于滞销时,下一季度将期望亏损300万元.
同样算得:

由此可预测本季度处于畅销时,两个季度后可期望获利750万元,三个季度后可期望获利855万元;当本季度处于滞销时,两个季度后将亏损240万元,三个季度后亏损144万元。
钢琴销售
存贮策略
问题
需求:顾客的到达相互独立
失去销售机会:需求超过库存→动态过程→概率
存贮策略:周末库存量为零时订购3架, 周初到货;否则,不订购
用马氏链描述每周不同的需求导致周初库存状态的变化
在稳态情况下——时间充分长以后




估计在这种策略下失去销售机会的可能性


估计这种策略下每周的平均销售量

第n周平均售量

从长期看,每周的平均销售量为 0.857(架)
平均需求:每周1 (架) 附近波动时,结果有多大变化
设服从均值为
的柏松分布

状态转移阵

第n周(n充分大)失去销售机会的概率:
for i=1:10
lamda=0.5+0.1*i;
d(i,1)=poisspdf(0,lamda); d(i,2)=poisspdf(1,lamda); d(i,3)=poisspdf(2,lamda);
d(i,4)=poisspdf(3,lamda); d(i,5)=1-poisscdf(3,lamda);
p1=[d(i,1) 0 1-d(i,1);d(i,2) d(i,1) 1-d(i,1)-d(i,2);d(i,3) d(i,2) 1-d(i,2)-d(i,3)]';
[V,D]=eig(p1); V1(i,:)=abs(V(:,1)/([1 1 1]*V(:,1)))';
P(i)=[d(i,3)+d(i,4)+d(i,5),d(i,4)+d(i,5),d(i,5)]*V1(i,:)';
end
P
| | 0.8 | 0.9 | 1.0 | 1.1 | 1.2 |
| P | 0.073 | 0.089 | 0.105 | 0.122 | 0.139 |
当平均需求(=1.0)增长(或减少)10%时,失去销售机会的概率将增长(或减少)约15%
存贮策略(周末库存为0则订购3架, 否则不订购)已定,计算两个指标(失去销售的概率和每周平均销售量).
关键是在无后效性的前提下恰当地定义系统的状态变量(本例是每周初的库存量).
动态随机存贮策略是马氏链的典型应用.
我有一个模型:classItem项目有一个属性“商店”基于存储的值,我希望Item对象对特定方法具有不同的行为。Rails中是否有针对此的通用设计模式?如果方法中没有大的if-else语句,这是如何干净利落地完成的? 最佳答案 通常通过Single-TableInheritance. 关于ruby-on-rails-Rails-子类化模型的设计模式是什么?,我们在StackOverflow上找到一个类似的问题: https://stackoverflow.co
我希望将Favorite模型添加到我的User和Link模型。业务逻辑用户可以有多个链接(即可以添加多个链接)用户可以收藏多个链接(他们自己的或其他用户的)一个链接可以被多个用户收藏,但只有一个所有者我对如何为这种关联建模以及在模型就位后如何创建用户收藏夹感到困惑?classUser 最佳答案 下面的数据模型怎么样:classUser:destroyhas_many:favorite_links,:through=>:favorites,:source=>:linkendclassLink:destroyhas_many:favor
我需要从一个View访问多个模型。以前,我的links_controller仅用于提供以不同方式排序的链接资源。现在我想包括一个部分(我假设)显示按分数排序的顶级用户(@users=User.all.sort_by(&:score))我知道我可以将此代码插入每个链接操作并从View访问它,但这似乎不是“ruby方式”,我将需要在不久的将来访问更多模型。这可能会变得很脏,是否有针对这种情况的任何技术?注意事项:我认为我的应用程序正朝着单一格式和动态页面内容的方向发展,本质上是一个典型的网络应用程序。我知道before_filter但考虑到我希望应用程序进入的方向,这似乎很麻烦。最终从任何
我有一个包含模块的模型。我想在模块中覆盖模型的访问器方法。例如:classBlah这显然行不通。有什么想法可以实现吗? 最佳答案 您的代码看起来是正确的。我们正在毫无困难地使用这个确切的模式。如果我没记错的话,Rails使用#method_missing作为属性setter,因此您的模块将优先,阻止ActiveRecord的setter。如果您正在使用ActiveSupport::Concern(参见thisblogpost),那么您的实例方法需要进入一个特殊的模块:classBlah
我有一个表单,其中有很多字段取自数组(而不是模型或对象)。我如何验证这些字段的存在?solve_problem_pathdo|f|%>... 最佳答案 创建一个简单的类来包装请求参数并使用ActiveModel::Validations。#definedsomewhere,atthesimplest:require'ostruct'classSolvetrue#youcouldevencheckthesolutionwithavalidatorvalidatedoerrors.add(:base,"WRONG!!!")unlesss
我想向我的Controller传递一个参数,它是一个简单的复选框,但我不知道如何在模型的form_for中引入它,这是我的观点:{:id=>'go_finance'}do|f|%>Transferirde:para:Entrada:"input",:placeholder=>"Quantofoiganho?"%>Saída:"output",:placeholder=>"Quantofoigasto?"%>Nota:我想做一个额外的复选框,但我该怎么做,模型中没有一个对象,而是一个要检查的对象,以便在Controller中创建一个ifelse,如果没有检查,请帮助我,非常感谢,谢谢
我有一些非常大的模型,我必须将它们迁移到最新版本的Rails。这些模型有相当多的验证(User有大约50个验证)。是否可以将所有这些验证移动到另一个文件中?说app/models/validations/user_validations.rb。如果可以,有人可以提供示例吗? 最佳答案 您可以为此使用关注点:#app/models/validations/user_validations.rbrequire'active_support/concern'moduleUserValidationsextendActiveSupport:
对于Rails模型,是否可以/建议让一个类的成员不持久保存到数据库中?我想将用户最后选择的类型存储在session变量中。由于我无法从我的模型中设置session变量,我想将值存储在一个“虚拟”类成员中,该成员只是将值传递回Controller。你能有这样的类(class)成员吗? 最佳答案 将非持久属性添加到Rails模型就像任何其他Ruby类一样:classUser扩展解释:在Ruby中,所有实例变量都是私有(private)的,不需要在赋值前定义。attr_accessor创建一个setter和getter方法:classUs
我有一个正在构建的应用程序,我需要一个模型来创建另一个模型的实例。我希望每辆车都有4个轮胎。汽车模型classCar轮胎模型classTire但是,在make_tires内部有一个错误,如果我为Tire尝试它,则没有用于创建或新建的activerecord方法。当我检查轮胎时,它没有这些方法。我该如何补救?错误是这样的:未定义的方法'create'forActiveRecord::AttributeMethods::Serialization::Tire::Module我测试了两个环境:测试和开发,它们都因相同的错误而失败。 最佳答案
ruby如何管理内存。例如:如果我们在执行过程中采用C程序,则以下是内存模型。类似于这个ruby如何处理内存。C:__________________|||stack|||------------------||||------------------|||||Heap|||||__________________|||data|__________________|text|__________________Ruby:? 最佳答案 Ruby中没有“内存”这样的东西。Class#allocate分配一个对象并返回该对象。这就是程序