
文章目录
基本拓扑(单端):


双管正激拓扑:

变换过程类似下图:
第1步∶加入隔离变压器;
第2步︰加入磁复位电路;
第3步︰加入阻断二极管。



缺点:
- 防止变压器初级线圈产生的反电动势把开关管击穿,需要增加反电动势绕组
- 次级多加1个电感进行储能滤波,成本较高
- 正激式开关电源变压器的体积要比反激式开关电源变压器的体积大。
以下完全搬自链接: CCM模式下电路参数的设计
CCM模式下电路参数的设计
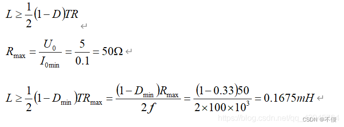
Q:设计一正激式变换器,要求工作于电感电流连续状态,技术指标要求如下:
1、输入直流电压:100~150V;
2、输出直流电压:5V;
3、最大输出电流:5A;
4、最小输出电流:0.1A;
5、输出电压纹波峰峰值:100mV;
6、开关频率:100kHz。
主电路参数设计目标
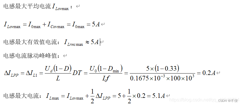
1、变压器设计:需求得变压器匝数比、变压器额定功率两个参数。
2、电感参数设计:求得电感量与最大有效值电流、最大峰值电流三个参数。
3、电容参数设计:需得到电容量与额定电压两个参数。
4、开关管选择:需得到额定电流、额定电压两个参数。
5、二极管选择:需得到额定电流、额定电压两个参数
开关管导通时:

开关管关断:

同时由于一个周期内磁芯磁通的增量一定得小于减量,所以单端正激对开关管D也有要求:



电感电流连续的临界条件同BUCK电路,



阻断二极管D2有效电流可以参考BUCK的MOS:

续流二极管D1电流参数计算参考BUCK电路二极管:

二极管D1和D2承受最大电压是一样的,都是变压器副边电压 = Us max*N2/N1 =15V,故其承受的最大电压为15V,其额定电压取30V以上(取两倍的安全裕量)。D2的额定电流取5A以上,D1的额定电流取6A以上,都可选择快速恢复二极管或肖特基二极管。
MOS管额定电流一般要求取MOS管最大有效值电流的2~3倍.

由于N1=N3,D3续流电流为变压器的励磁电流,励磁电流的详细计算需要先确定磁芯,一般可以粗略考虑复位绕组的额定电流(D3的额定电流)为主绕组额定电流(MOS管额定电流)的10%~30%,因此,D3额定电流为ID3 =

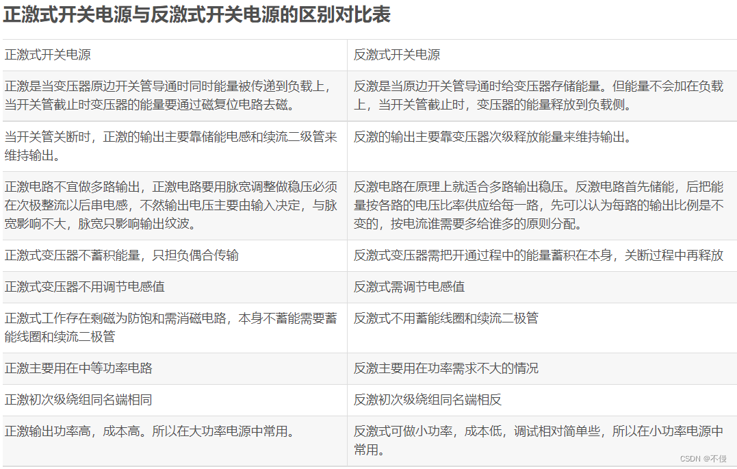
工作原理不同:
- 正激是初级工作次级也工作,次级不工作有续流电感续流,一般是CCM模式。功率因数一般不高,而且输入输出和变比占空比成比例。
- 反激是初级工作,次级不工作,两边独立开来,一般DCM模式下,但是变压器的电感会比较小,而且需要加气隙,所以一般适合中小功率情况。


参考资料:
链接1: 正激与反激—电路分析、设计要点与参数选择
链接2: 链接: 单端正激(Forward)变换器的工作原理&CCM模式下电路设计参数计算
链接3: 什么是电源正激和反激? 正激和反激有什么区别特点?如何快速区分
我有一个模型:classItem项目有一个属性“商店”基于存储的值,我希望Item对象对特定方法具有不同的行为。Rails中是否有针对此的通用设计模式?如果方法中没有大的if-else语句,这是如何干净利落地完成的? 最佳答案 通常通过Single-TableInheritance. 关于ruby-on-rails-Rails-子类化模型的设计模式是什么?,我们在StackOverflow上找到一个类似的问题: https://stackoverflow.co
我将应用程序升级到Rails4,一切正常。我可以登录并转到我的编辑页面。也更新了观点。使用标准View时,用户会更新。但是当我添加例如字段:name时,它不会在表单中更新。使用devise3.1.1和gem'protected_attributes'我需要在设备或数据库上运行某种更新命令吗?我也搜索过这个地方,找到了许多不同的解决方案,但没有一个会更新我的用户字段。我没有添加任何自定义字段。 最佳答案 如果您想允许额外的参数,您可以在ApplicationController中使用beforefilter,因为Rails4将参数
Unity自动旋转动画1.开门需要门把手先动,门再动2.关门需要门先动,门把手再动3.中途播放过程中不可以再次进行操作觉得太复杂?查看我的文章开关门简易进阶版效果:如果这个门可以直接打开的话,就不需要放置"门把手"如果门把手还有钥匙需要旋转,那就可以把钥匙放在门把手的"门把手",理论上是可以无限套娃的可调整参数有:角度,反向,轴向,速度运行时点击Test进行测试自己写的代码比较垃圾,命名与结构比较拉,高手轻点喷,新手有类似的需求可以拿去做参考上代码usingSystem.Collections;usingSystem.Collections.Generic;usingUnityEngine;u
目录前言滤波电路科普主要分类实际情况单位的概念常用评价参数函数型滤波器简单分析滤波电路构成低通滤波器RC低通滤波器RL低通滤波器高通滤波器RC高通滤波器RL高通滤波器部分摘自《LC滤波器设计与制作》,侵权删。前言最近需要学习放大电路和滤波电路,但是由于只在之前做音乐频谱分析仪的时候简单了解过一点点运放,所以也是相当从零开始学习了。滤波电路科普主要分类滤波器:主要是从不同频率的成分中提取出特定频率的信号。有源滤波器:由RC元件与运算放大器组成的滤波器。可滤除某一次或多次谐波,最普通易于采用的无源滤波器结构是将电感与电容串联,可对主要次谐波(3、5、7)构成低阻抗旁路。无源滤波器:无源滤波器,又称
项目介绍随着我国经济迅速发展,人们对手机的需求越来越大,各种手机软件也都在被广泛应用,但是对于手机进行数据信息管理,对于手机的各种软件也是备受用户的喜爱小学生兴趣延时班预约小程序的设计与开发被用户普遍使用,为方便用户能够可以随时进行小学生兴趣延时班预约小程序的设计与开发的数据信息管理,特开发了小程序的设计与开发的管理系统。小学生兴趣延时班预约小程序的设计与开发的开发利用现有的成熟技术参考,以源代码为模板,分析功能调整与小学生兴趣延时班预约小程序的设计与开发的实际需求相结合,讨论了小学生兴趣延时班预约小程序的设计与开发的使用。开发环境开发说明:前端使用微信微信小程序开发工具:后端使用ssm:VU
我在我的项目中有一个用户和一个管理员角色。我使用Devise创建了身份验证。在我的管理员角色中,我没有任何确认。在我的用户模型中,我有以下内容:devise:database_authenticatable,:confirmable,:recoverable,:rememberable,:trackable,:validatable,:timeoutable,:registerable#Setupaccessible(orprotected)attributesforyourmodelattr_accessible:email,:username,:prename,:surname,:
我正在尝试创建密码规则来设计可恢复的密码更改。我通过passwords_controller.rb做了一个父类(superclass),但我需要在应用规则之前检查用户角色,但我所拥有的只是reset_password_token。 最佳答案 假设您的模型是用户:User.with_reset_password_token(your_token_here)Source 关于ruby-on-rails-设计通过reset_password_token获取用户,我们在StackOverflow
我已经使用Apartment设置了一个Rails5应用程序(1.2.0)和Devise(4.2.0)。由于某些DDNS问题,应用只能在app.myapp.com下访问(请注意子域app)。myapp.com重定向到app.myapp.com。我的用例是每个注册该应用的用户(租户)都应该通过他们的子域(例如tenant.myapp.com)访问他们的特定数据。用户不应限定在其子域内。基本上应该可以从任何子域登录。重定向到租户的正确子域由ApplicationController处理。根据Devise标准,登录页面位于app.myapp.com/users/sign_in。这就是问题开始的
我在关注RyanbatesRailsCast的devise和omniauth(第235集-devise-and-omniauth-revised)。当我尝试使用Twitter登录时,标题中不断出现错误。defself.new_with_session(params,session)ifsession["devise.user_attributes"]new(session["devise.user_attributes"],without_protection:true)do|user|user.attributes=paramsuser.valid?end完整跟踪:C:/Ruby20
我为Devise用户和管理员提供了不同的模型。我也在使用Basecamp风格的子域。除了我需要能够以用户或管理员身份进行身份验证的一些Controller和操作外,一切都运行良好。目前我有authenticate_user!在我的application_controller.rb中设置,对于那些只有管理员才能访问的Controller和操作,我使用skip_before_filter跳过它。不幸的是,我不能简单地指定每个Controller的身份验证要求,因为我仍然需要一些Controller和操作才能被用户或管理员访问。我尝试了一些方法都无济于事。看来,如果我移动authentica